Официальное опубликование правовых актов
ОФИЦИАЛЬНОЕ ОПУБЛИКОВАНИЕ
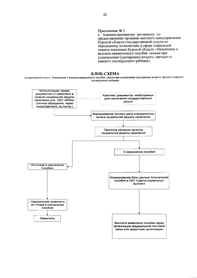
Приказ Комитета социального обеспечения Курской области от 08.10.2018 № 289 "О внесении изменений в Административный регламент по предоставлению органами местного самоуправления Курской области государственной услуги по переданному полномочию в сфере социальной защиты населения Курской области "Назначение и выплата ежемесячного пособия семьям при усыновлении (удочерении) второго, третьего и каждого последующего ребенка"
Номер опубликования: 4601201810110018
Дата опубликования: 11.10.2018
Страница №43 из 44:
Увеличить