Официальное опубликование правовых актов
ОФИЦИАЛЬНОЕ ОПУБЛИКОВАНИЕ
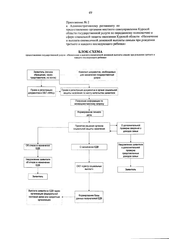
Приказ Комитета социального обеспечения Курской области от 08.10.2018 № 287 "О внесении изменений в Административный регламент по предоставлению органами местного самоуправления Курской области государственной услуги по переданному полномочию в сфере социальной защиты населения Курской области "Назначение и выплата ежемесячной денежной выплаты семьям при рождении третьего и каждого последующего ребенка"
Номер опубликования: 4601201810110016
Дата опубликования: 11.10.2018
Страница №50 из 60:
Увеличить