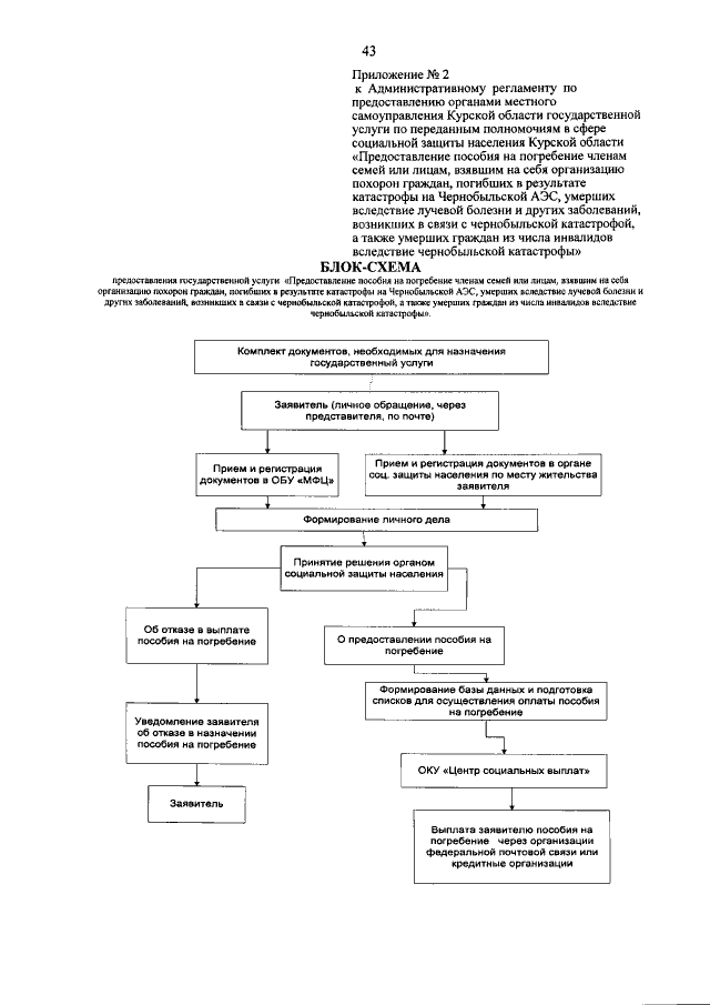
Приказ Комитета социального обеспечения Курской области от 05.10.2018 № 280 "О внесении изменений в Административный регламент по предоставлению органами местного самоуправления Курской области государственной услуги по переданным полномочиям в сфере социальной защиты населения Курской области "Предоставление пособия на погребение членам семей или лицам, взявшим на себя организацию похорон граждан, погибших в результате катастрофы на Чернобыльской АЭС, умерших вследствие лучевой болезни и других заболеваний, возникших в связи с чернобыльской катастрофой, а также умерших граждан из числа инвалидов вследствие чернобыльской катастрофы"
Номер опубликования: 4601201810110001
Дата опубликования:
11.10.2018
