Официальное опубликование правовых актов
ОФИЦИАЛЬНОЕ ОПУБЛИКОВАНИЕ
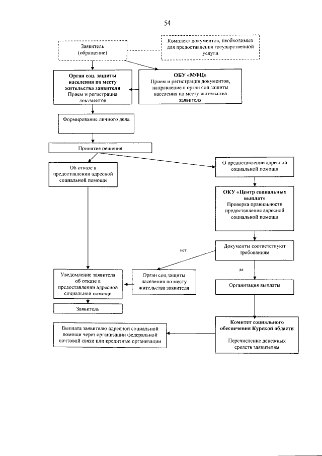
Приказ Комитета социального обеспечения Курской области от 05.10.2018 № 283 "О внесении изменений в административный регламент по предоставлению органами местного самоуправления Курской области государственной услуги по переданному полномочию в сфере социальной защиты населения Курской области "Предоставление адресной социальной помощи отдельным категориям граждан на проведение работ по газификации домовладений (квартир)"
Номер опубликования: 4601201810080004
Дата опубликования: 08.10.2018
Страница №55 из 60:
Увеличить