Официальное опубликование правовых актов
ОФИЦИАЛЬНОЕ ОПУБЛИКОВАНИЕ
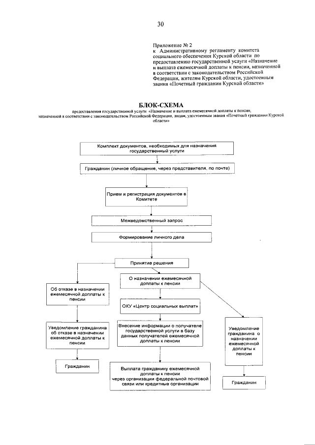
Приказ Комитета социального обеспечения Курской области от 03.10.2018 № 257 "О внесении изменений в Административный регламент комитета социального обеспечения Курской области по предоставлению государственной услуги "Назначение и выплата ежемесячной доплаты к пенсии, назначенной в соответствии с законодательством Российской Федерации, жителям Курской области, удостоенным звания "Почетный гражданин Курской области"
Номер опубликования: 4601201810050009
Дата опубликования: 05.10.2018
Страница №31 из 39:
Увеличить