Официальное опубликование правовых актов
ОФИЦИАЛЬНОЕ ОПУБЛИКОВАНИЕ
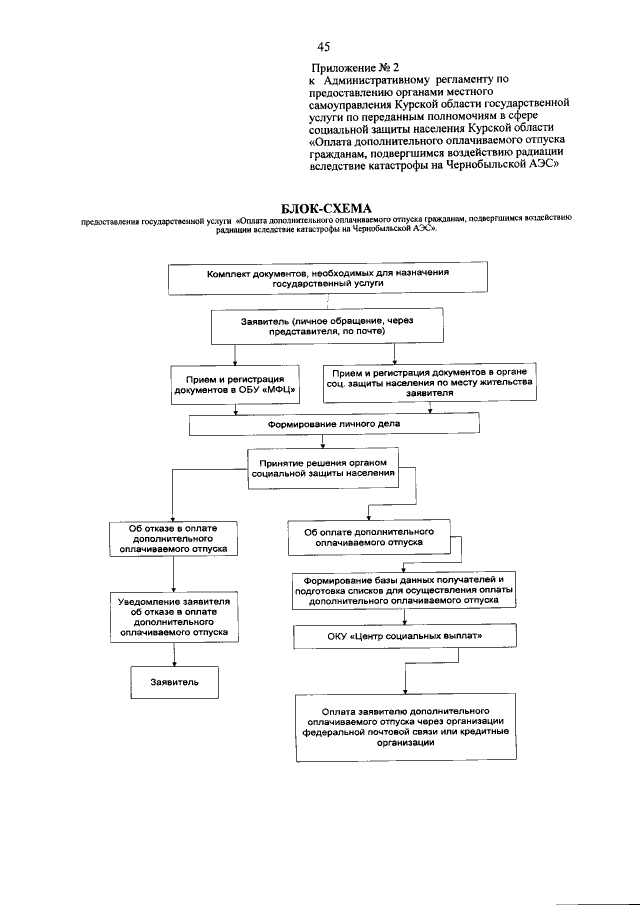
Приказ Комитета социального обеспечения Курской области от 04.10.2018 № 263 "О внесении изменений в Административный регламент по предоставлению органами местного самоуправления Курской области государственной услуги по переданным полномочиям в сфере социальной защиты населения Курской области "Оплата дополнительного оплачиваемого отпуска гражданам, подвергшимся воздействию радиации вследствие катастрофы на Чернобыльской АЭС и других радиационных катастроф"
Номер опубликования: 4601201810050008
Дата опубликования: 05.10.2018
Страница №46 из 52:
Увеличить