Официальное опубликование правовых актов
ОФИЦИАЛЬНОЕ ОПУБЛИКОВАНИЕ
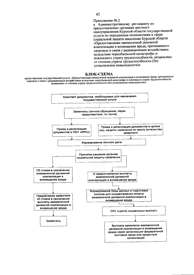
Приказ Комитета социального обеспечения Курской области от 04.10.2018 № 265 "О внесении изменений в Административный регламент по предоставлению органами местного самоуправления Курской области государственной услуги по переданным полномочиям в сфере социальной защиты населения Курской области "Предоставление ежемесячной денежной компенсации в возмещение вреда, причиненного здоровью в связи с радиационным воздействием вследствие чернобыльской катастрофы и повлекшего утрату трудоспособности, независимо от степени утраты трудоспособности (без установления инвалидности)"
Номер опубликования: 4601201810050004
Дата опубликования: 05.10.2018
Страница №46 из 52:
Увеличить