Официальное опубликование правовых актов
ОФИЦИАЛЬНОЕ ОПУБЛИКОВАНИЕ
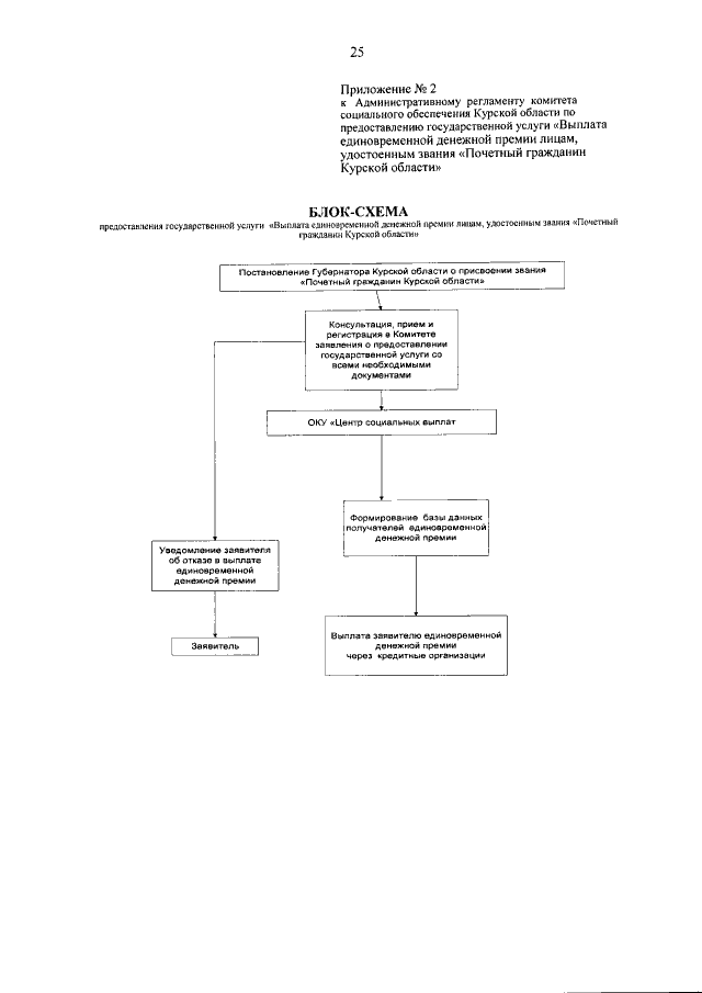
Приказ Комитета социального обеспечения Курской области от 30.08.2018 № 214 "О внесении изменений в Административный регламент комитета социального обеспечения Курской области по предоставлению государственной услуги "Выплата единовременной денежной премии лицам, удостоенным звания "Почетный гражданин Курской области"
Номер опубликования: 4601201808310006
Дата опубликования: 31.08.2018
Страница №26 из 30:
Увеличить