Официальное опубликование правовых актов
ОФИЦИАЛЬНОЕ ОПУБЛИКОВАНИЕ
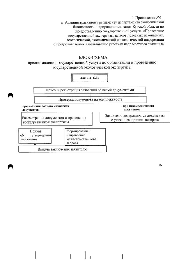
Приказ Департамента экологической безопасности и природопользования Курской области от 18.07.2018 № 01-06/271 "О внесении изменений в Административный регламент по предоставлению государственной услуги "Проведение государственной экспертизы запасов полезных ископаемых, геологической, экономической и экологической информации о предоставляемых в пользование участках недр местного значения"
Номер опубликования: 4601201807240003
Дата опубликования: 24.07.2018
Страница №4 из 4:
Увеличить