Официальное опубликование правовых актов
ОФИЦИАЛЬНОЕ ОПУБЛИКОВАНИЕ
Приказ комитета по физической культуре и спорту Курской области от 11.07.2018 № 01-02/238
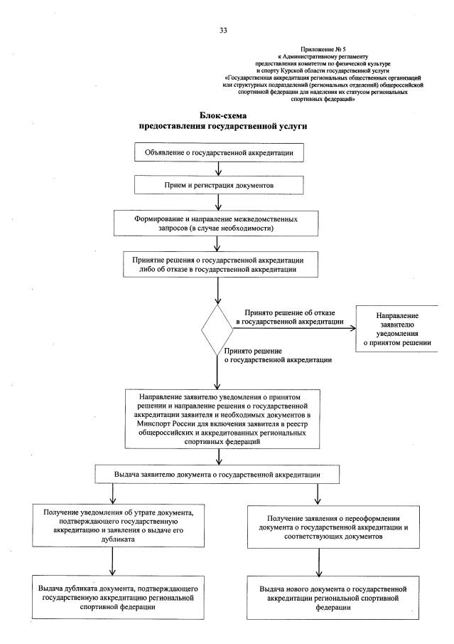
"Об утверждении административного регламента предоставления комитетом по физической культуре и спорту Курской области государственной услуги "Государственная аккредитация региональных общественных организаций или структурных подразделений (региональных отделений) общероссийской спортивной федерации для наделения их статусом региональных спортивных федераций"
Номер опубликования: 4601201807130001
Дата опубликования: 13.07.2018
Страница №33 из 36:
Увеличить