Официальное опубликование правовых актов
ОФИЦИАЛЬНОЕ ОПУБЛИКОВАНИЕ
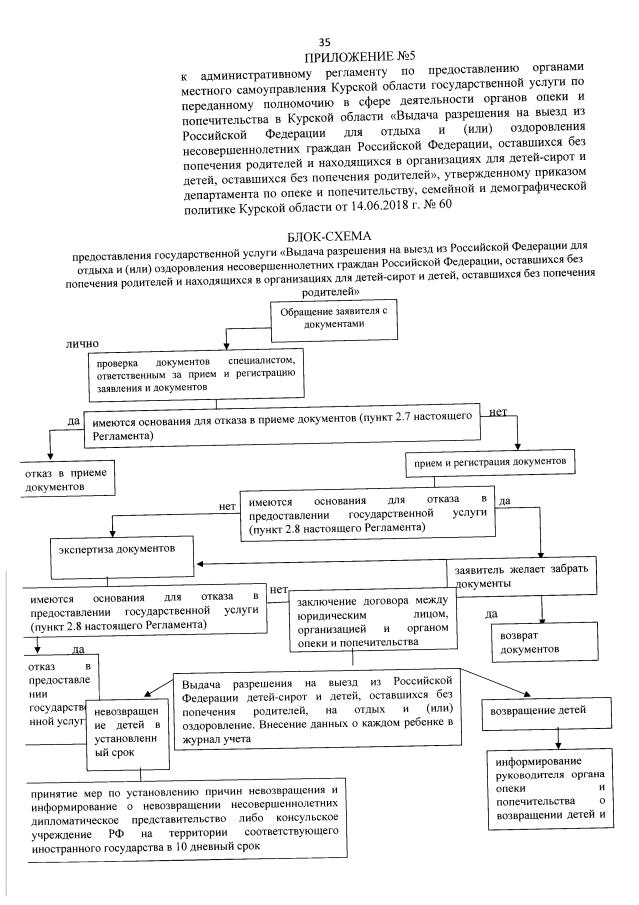
Приказ Департамента по опеке и попечительству, семейной и демографической политике Курской области от 14.06.2018 № 60
"Об утверждении административного регламента по предоставлению органами местного самоуправления Курской области государственной услуги по переданному полномочию в сфере деятельности органов опеки и попечительства в Курской области "Выдача разрешения на выезд из Российской Федерации для отдыха и (или) оздоровления несовершеннолетних граждан Российской Федерации, оставшихся без попечения родителей и находящихся в организациях для детей-сирот и детей, оставшихся без попечения родителей" в новой редакции"
Номер опубликования: 4601201806210002
Дата опубликования: 21.06.2018
Страница №37 из 45:
Увеличить