Официальное опубликование правовых актов
ОФИЦИАЛЬНОЕ ОПУБЛИКОВАНИЕ
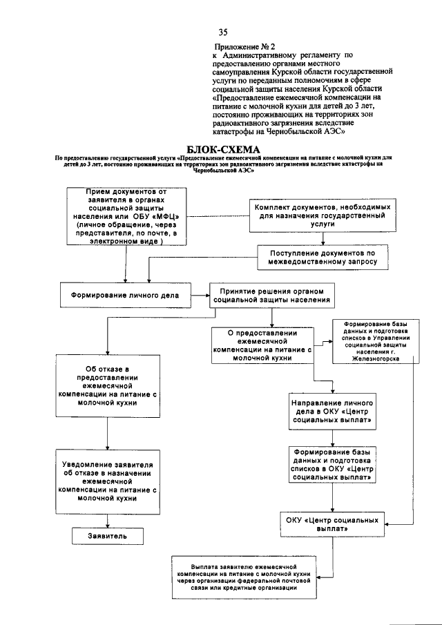
Приказ Комитета социального обеспечения Курской области от 19.03.2018 № 86 "О внесении изменений в Административный регламент по предоставлению органами местного самоуправления Курской области государственной услуги по переданным полномочиям в сфере социальной защиты населения Курской области "Предоставление ежемесячной компенсации на питание с молочной кухни для детей до 3 лет, постоянно проживающих на территориях зон радиоактивного загрязнения вследствие катастрофы на Чернобыльской АЭС"
Номер опубликования: 4601201803230006
Дата опубликования: 23.03.2018
Страница №36 из 43:
Увеличить