Официальное опубликование правовых актов
ОФИЦИАЛЬНОЕ ОПУБЛИКОВАНИЕ
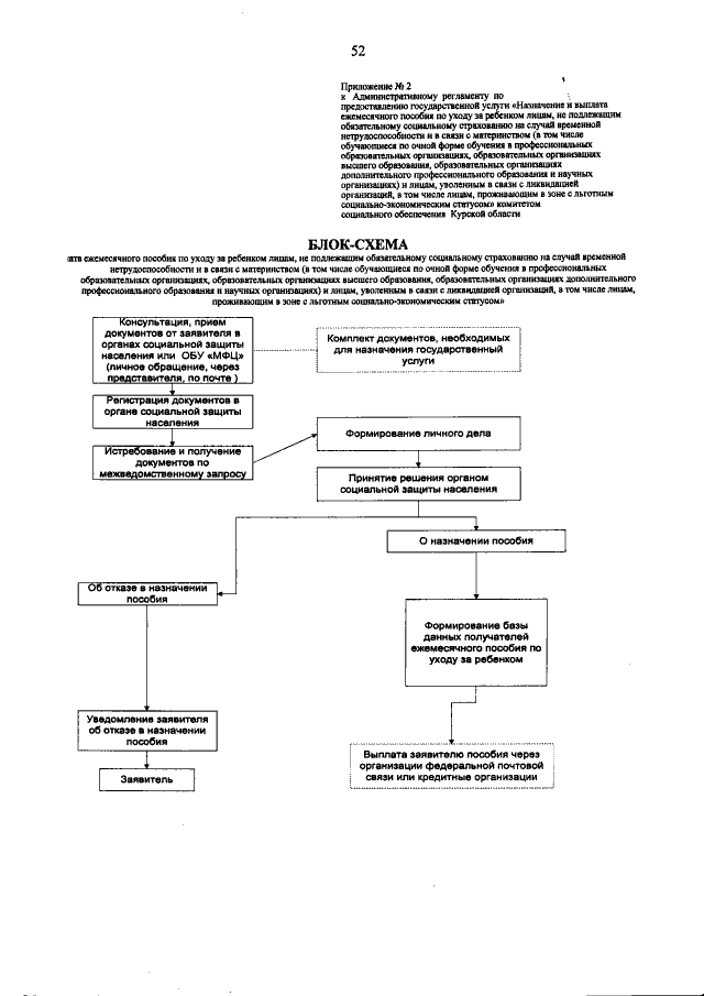
Приказ Комитета социального обеспечения Курской области от 27.12.2017 № 269 "О внесении изменений в Административный регламент по предоставлению органами местного самоуправления Курской области государственной услуги по переданному полномочию в сфере социальной защиты населения Курской области "Назначение и выплата ежемесячного пособия по уходу за ребенком лицам, не подлежащим обязательному социальному страхованию на случай временной нетрудоспособности и в связи с материнством (в том числе обучающимся по очной форме обучения в профессиональных образовательных организациях, образовательных организациях высшего образования, образовательных организациях дополнительного профессионального образования и научных организациях) и лицам, уволенным в связи с ликвидацией организаций, в том числе лицам, проживающим в зоне с льготным социально-экономическим статусом"
Номер опубликования: 4601201712290005
Дата опубликования: 29.12.2017
Страница №53 из 60:
Увеличить