Официальное опубликование правовых актов
ОФИЦИАЛЬНОЕ ОПУБЛИКОВАНИЕ
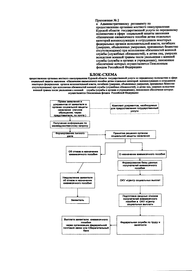
Приказ Комитета социального обеспечения Курской области от 28.12.2017 № 273 "О внесении изменений в Административный регламент по предоставлению органами местного самоуправления Курской области государственной услуги по переданному полномочию в сфересоциальной защиты населения Курской области "Назначение ежемесячного пособия детям отдельных категорий военнослужащих исотрудников некоторых федеральных органов исполнительной власти, погибших (умерших, объявленных умершими, признанных безвестно отсутствующими) при исполнении обязанностей военной службы (служебных обязанностей), и детям лиц, умерших вследствие военной травмы после увольнения с военной службы (службы в органах и учреждениях), пенсионное обеспечение которых осуществляется Пенсионным фондом Российской Федерации"
Номер опубликования: 4601201712290004
Дата опубликования: 29.12.2017
Страница №39 из 45:
Увеличить