Официальное опубликование правовых актов
ОФИЦИАЛЬНОЕ ОПУБЛИКОВАНИЕ
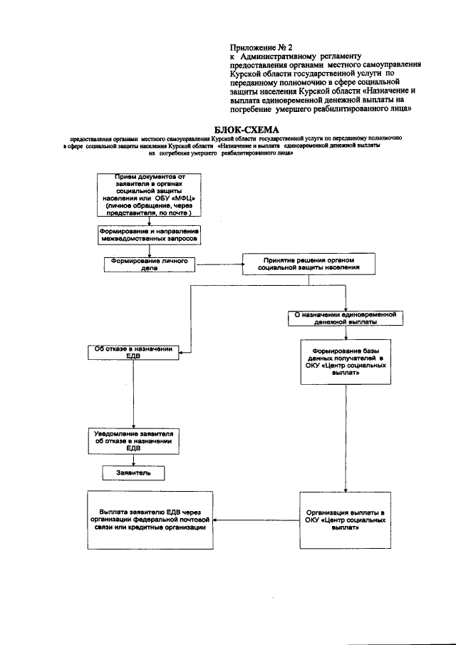
Приказ Комитета социального обеспечения Курской области № 275 "О внесении изменений в Административный регламент по предоставлению органами местного самоуправления Курской области государственной услуги по переданному полномочию в сфере социальной защиты населения Курской области "Назначение и выплата единовременной денежной выплаты на погребение реабилитированного лица"
Номер опубликования: 4601201712290001
Дата опубликования: 29.12.2017
Страница №42 из 48:
Увеличить