Официальное опубликование правовых актов
ОФИЦИАЛЬНОЕ ОПУБЛИКОВАНИЕ
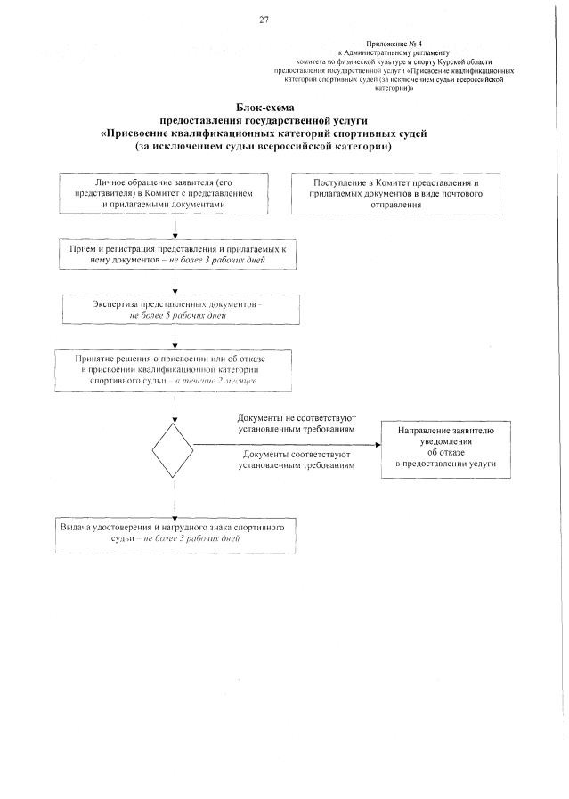
Приказ Комитета по физической культуре и спорту Курской области от 25.12.2017 № 01-02/351 "Об утверждении Административного регламента предоставления комитетом по физической культуре и спорту Курской области государственной услуги "Присвоение квалификационной категории спортивного судьи "спортивный судья первой категории" в новой редакции"
Номер опубликования: 4601201712270012
Дата опубликования: 27.12.2017
Страница №28 из 28:
Увеличить