Официальное опубликование правовых актов
ОФИЦИАЛЬНОЕ ОПУБЛИКОВАНИЕ
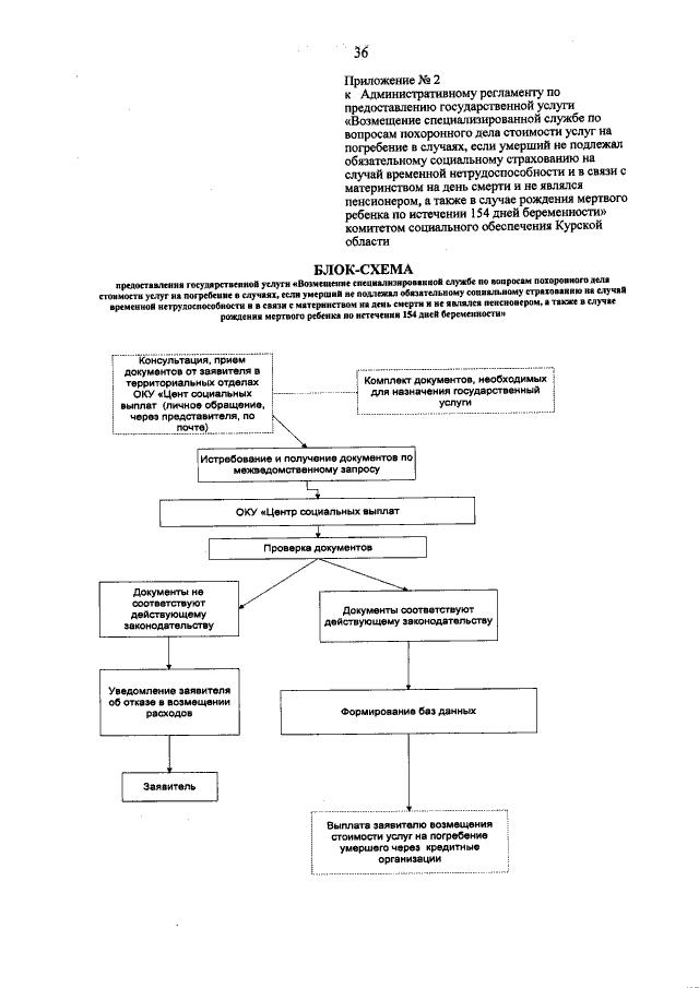
Приказ Комитета социального обеспечения Курской области от 18.12.2017 № 246 "О внесении изменений в Административный регламент по предоставлению комитетом социального обеспечения Курской области государственной услуги "Возмещение специализированной службе по вопросам похоронного дела стоимости услуг на погребение в случаях, если умерший не подлежал обязательному социальному страхованию на случай временной нетрудоспособности и в связи с материнством на день смерти и не являлся пенсионером, а также в случае рождения мертвого ребенка по истечении 154 дней беременности"
Номер опубликования: 4601201712210024
Дата опубликования: 21.12.2017
Страница №37 из 42:
Увеличить