Официальное опубликование правовых актов
ОФИЦИАЛЬНОЕ ОПУБЛИКОВАНИЕ
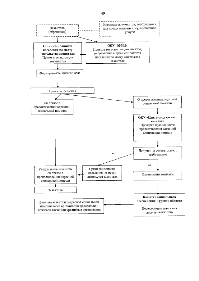
Приказ Комитета социального обеспечения Курской области от 22.11.2017 № 209 "Об утверждении административного регламента по предоставлению органами местного самоуправления Курской области государственной услуги по переданному полномочию в сфере социальной защиты населения Курской области "Предоставление адресной социальной помощи отдельным категориям граждан на проведение работ по газификации домовладений (квартир)"
Номер опубликования: 4601201711300009
Дата опубликования: 30.11.2017
Страница №51 из 56:
Увеличить