Официальное опубликование правовых актов
ОФИЦИАЛЬНОЕ ОПУБЛИКОВАНИЕ
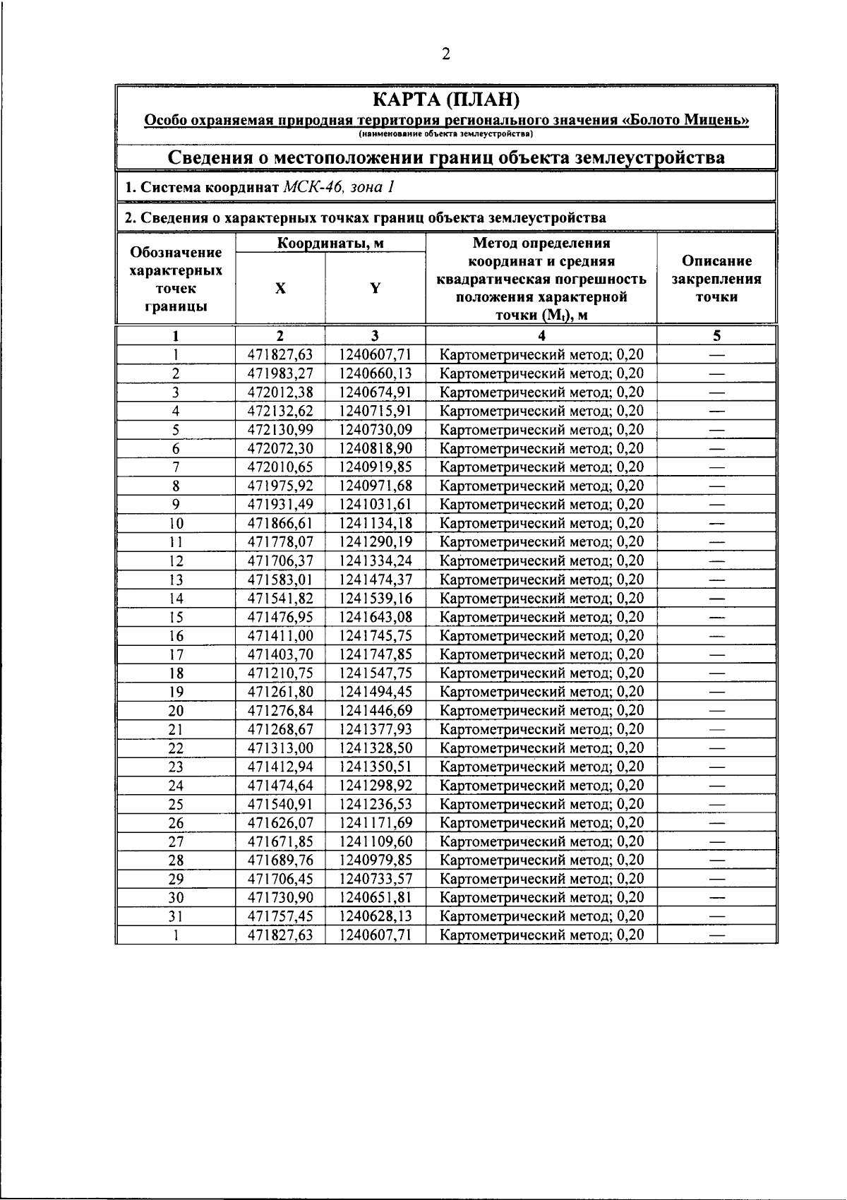
Постановление Правительства Курской области от 30.03.2026 № 213-пп
"О памятнике природы регионального значения "Болото Мицень"
Номер опубликования: 4600202603310014
Дата опубликования: 31.03.2026
Страница №17 из 17:
Увеличить