Официальное опубликование правовых актов
ОФИЦИАЛЬНОЕ ОПУБЛИКОВАНИЕ
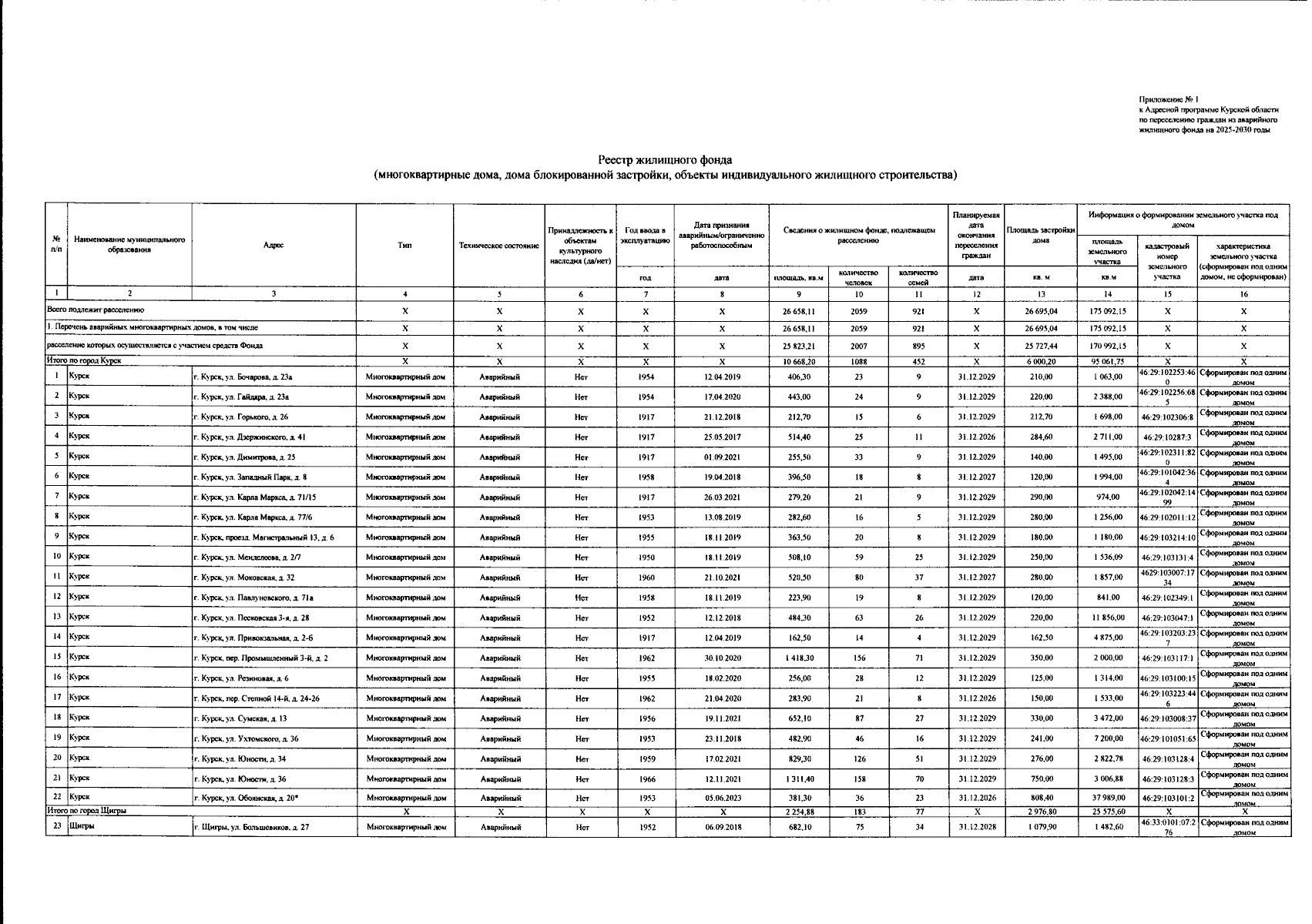
Постановление Правительства Курской области от 20.11.2025 № 847-пп
"О внесении изменений в постановление Правительства Курской области от 29.04.2025 № 325-пп"
Номер опубликования: 4600202511250010
Дата опубликования: 25.11.2025
Страница №26 из 42:
Увеличить