Официальное опубликование правовых актов
ОФИЦИАЛЬНОЕ ОПУБЛИКОВАНИЕ
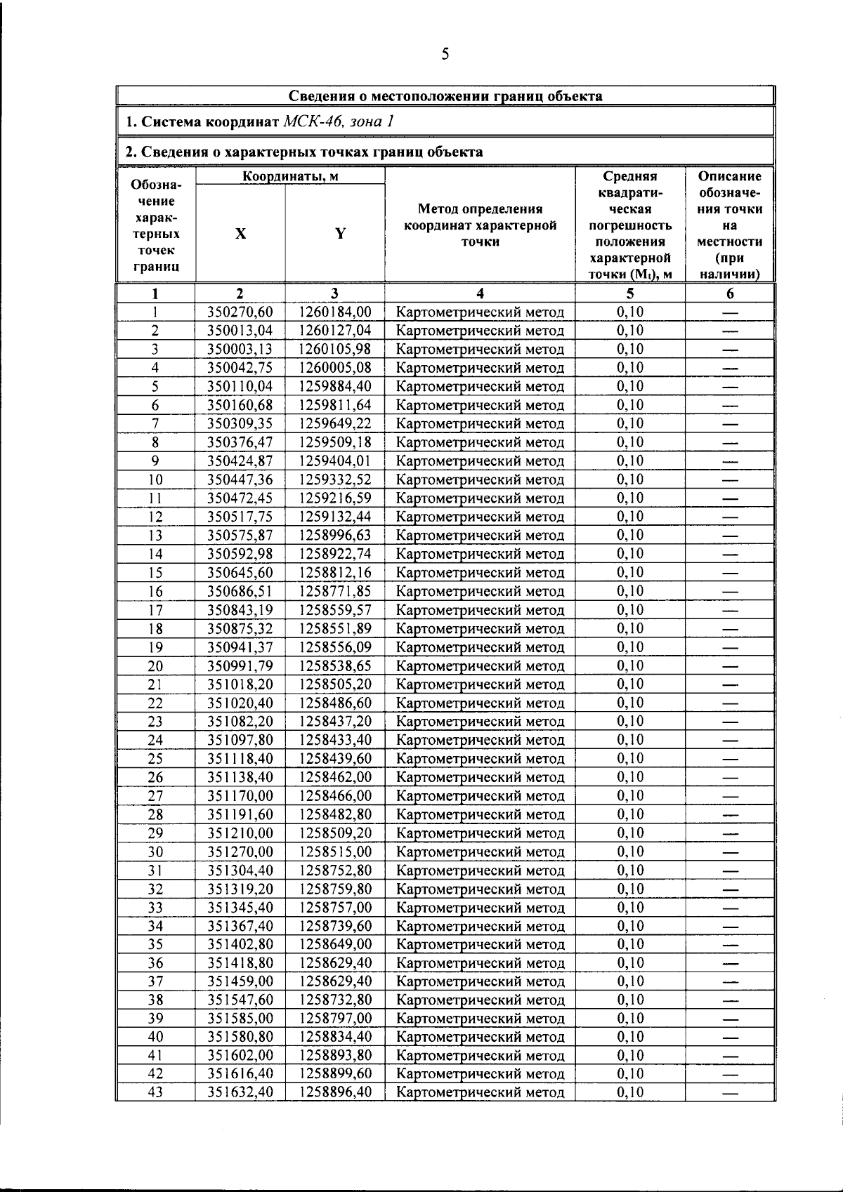
Постановление Губернатора Курской области от 06.10.2025 № 235-пг
"Об установлении охранной зоны памятника природы регионального значения "Урочище Суходол у села Песчаное"
Номер опубликования: 4600202510130005
Дата опубликования: 13.10.2025
Страница №9 из 17:
Увеличить