Постановление Губернатора Курской области от 11.09.2025 № 220-пг
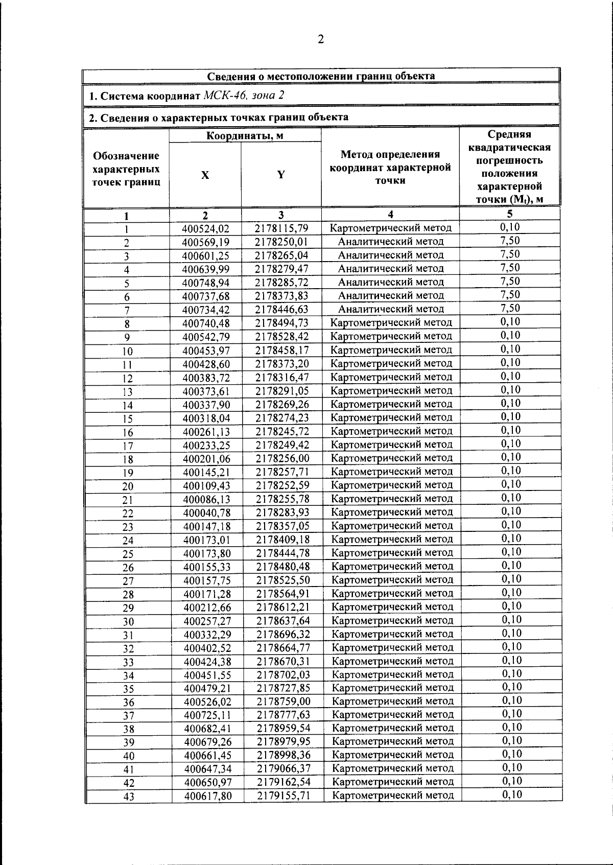
"Об установлении охранной зоны памятника природы регионального значения "Степные холмы и пойма реки Рогозец близ села Безлепкино"
"Об установлении охранной зоны памятника природы регионального значения "Степные холмы и пойма реки Рогозец близ села Безлепкино"
Номер опубликования: 4600202509170003
Дата опубликования:
17.09.2025
