Официальное опубликование правовых актов
ОФИЦИАЛЬНОЕ ОПУБЛИКОВАНИЕ
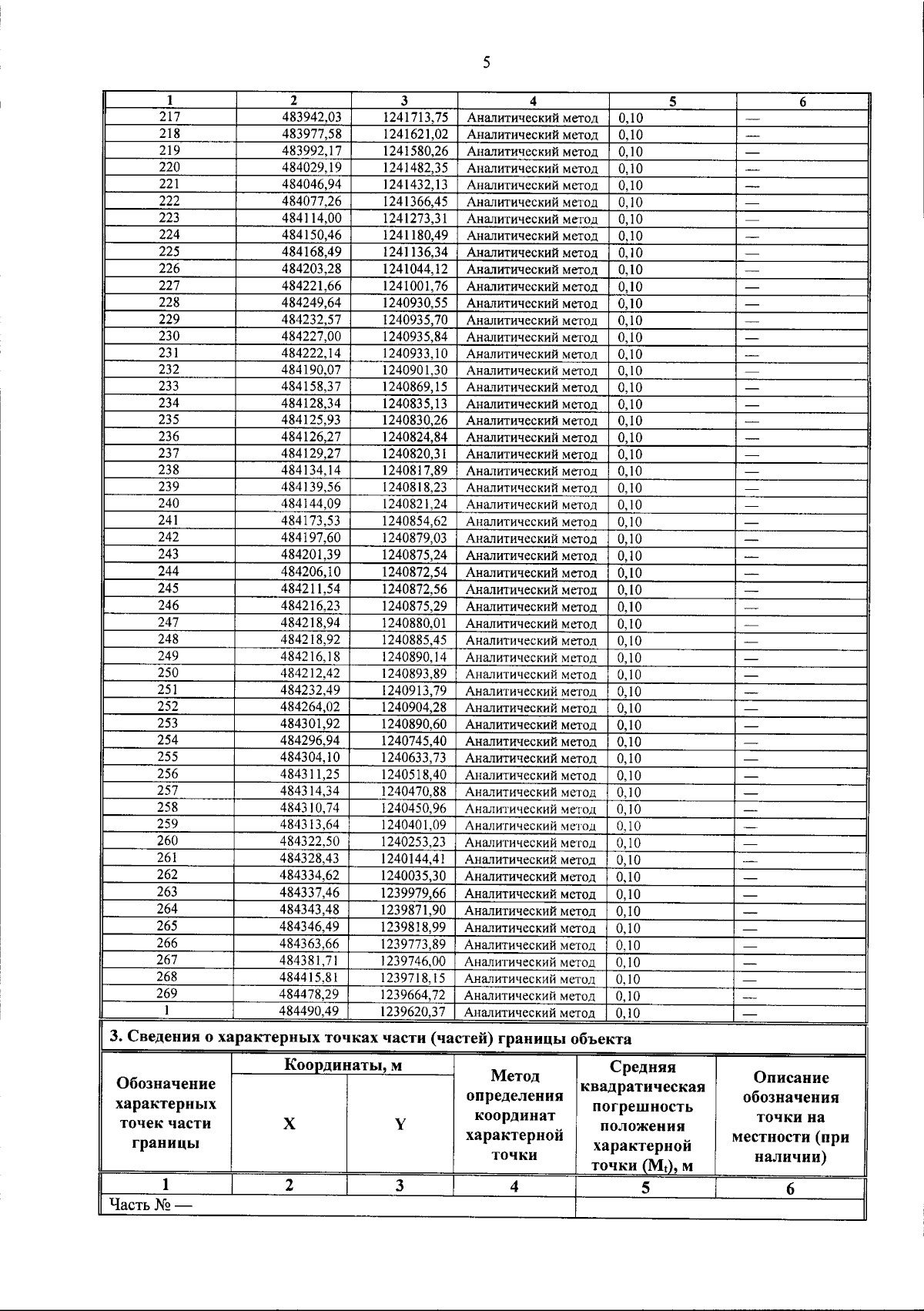
Постановление Правительства Курской области от 06.06.2025 № 416-пп
"Об установлении публичного сервитута для использования земельных участков в целях эксплуатации существующего объекта энергетики"
Номер опубликования: 4600202506110007
Дата опубликования: 11.06.2025
Страница №13 из 27:
Увеличить