Постановление Правительства Курской области от 16.05.2025 № 358-пп
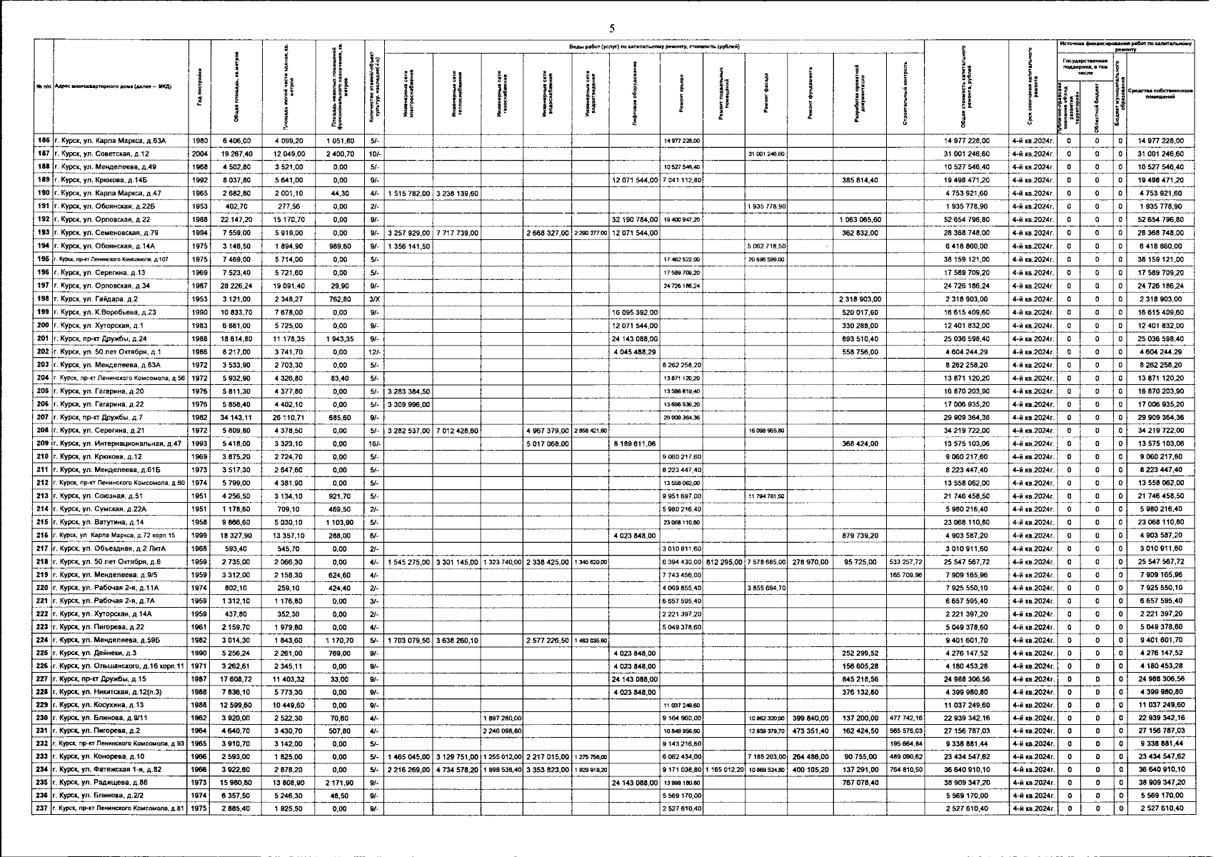
"О внесении изменений в краткосрочный план реализации Региональной программы капитального ремонта общего имущества в многоквартирных домах, расположенных на территории Курской области, на 2023 — 2025 годы"
"О внесении изменений в краткосрочный план реализации Региональной программы капитального ремонта общего имущества в многоквартирных домах, расположенных на территории Курской области, на 2023 — 2025 годы"
Номер опубликования: 4600202505200012
Дата опубликования:
20.05.2025
