Официальное опубликование правовых актов
ОФИЦИАЛЬНОЕ ОПУБЛИКОВАНИЕ
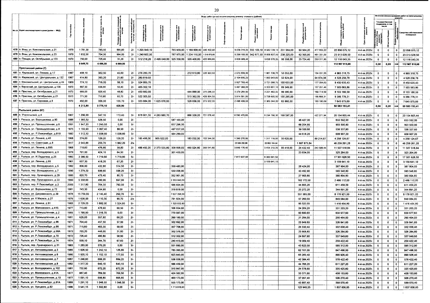
Постановление Правительства Курской области от 16.05.2025 № 358-пп
"О внесении изменений в краткосрочный план реализации Региональной программы капитального ремонта общего имущества в многоквартирных домах, расположенных на территории Курской области, на 2023 — 2025 годы"
Номер опубликования: 4600202505200012
Дата опубликования: 20.05.2025
Страница №21 из 32:
Увеличить