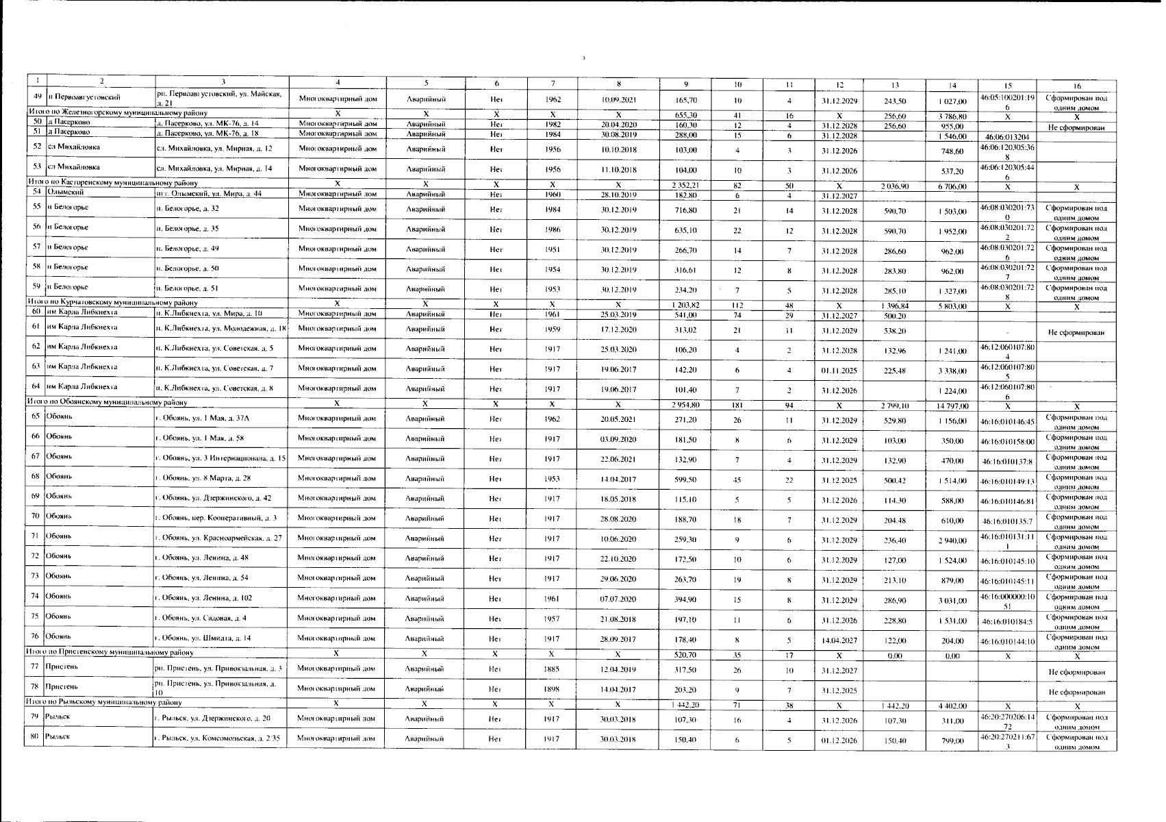
Постановление Правительства Курской области от 29.04.2025 № 325-пп
"Об утверждении адресной программы Курской области по переселению граждан из аварийного жилищного фонда на 2025 — 2030 годы"
"Об утверждении адресной программы Курской области по переселению граждан из аварийного жилищного фонда на 2025 — 2030 годы"
Номер опубликования: 4600202504300008
Дата опубликования:
30.04.2025
