Официальное опубликование правовых актов
ОФИЦИАЛЬНОЕ ОПУБЛИКОВАНИЕ
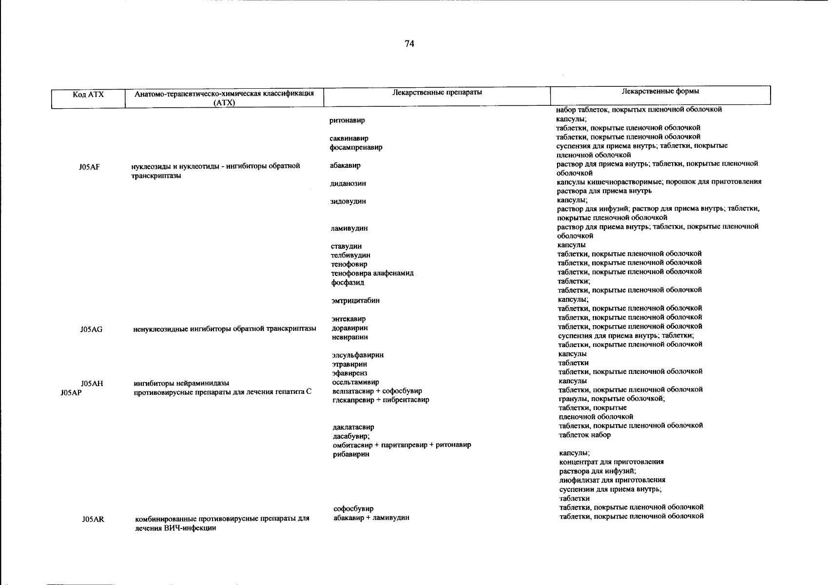
Постановление Правительства Курской области от 26.03.2025 № 225-пп
"О внесении изменений в постановление Правительства Курской области от 26.12.2024 № 1199-пп"
Номер опубликования: 4600202503310001
Дата опубликования: 31.03.2025
Страница №75 из 99:
Увеличить