Официальное опубликование правовых актов
ОФИЦИАЛЬНОЕ ОПУБЛИКОВАНИЕ
Постановление Правительства Курской области от 25.12.2024 № 1173-пп
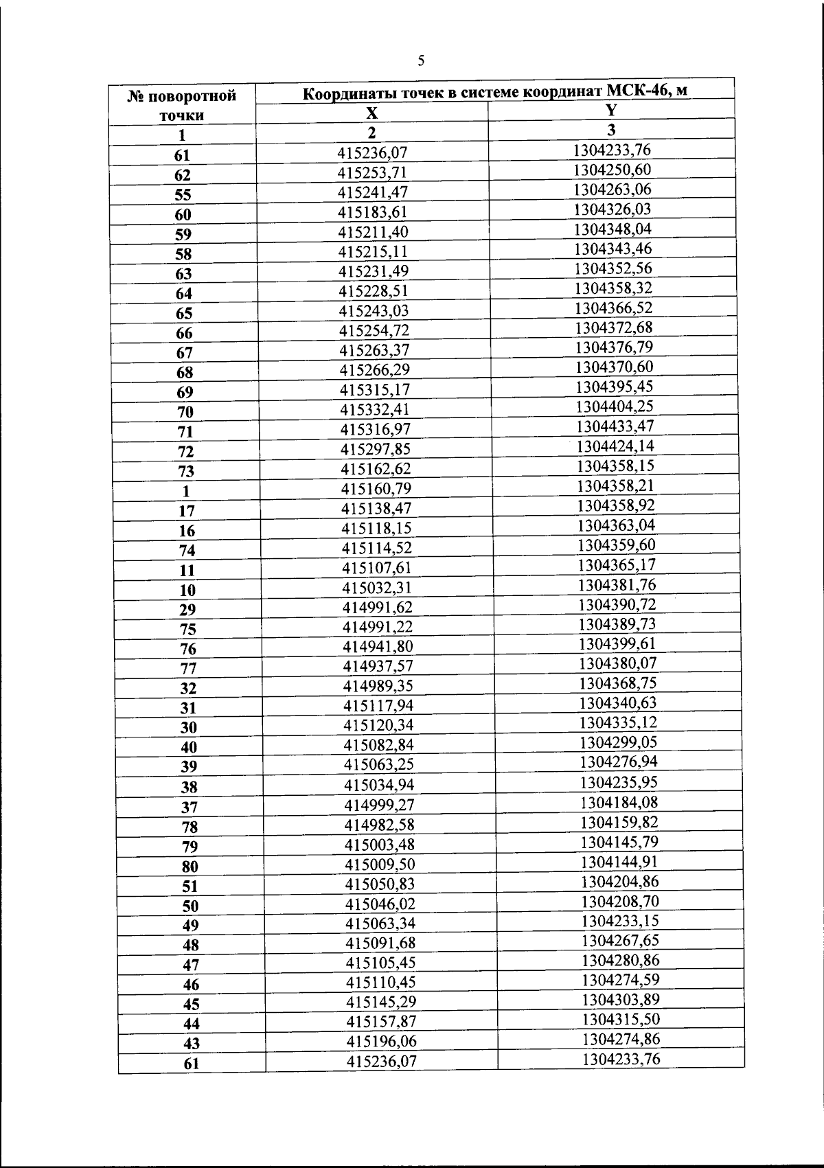
"Об утверждении границ зон охраны объекта культурного наследия регионального значения "Церковь Троицкая", 1877 г., расположенного по адресу: Курская область, Курский район, с. Лебяжье, и требований к градостроительным регламентам в границах территорий данных зон"
Номер опубликования: 4600202412280036
Дата опубликования: 28.12.2024
Страница №7 из 21:
Увеличить