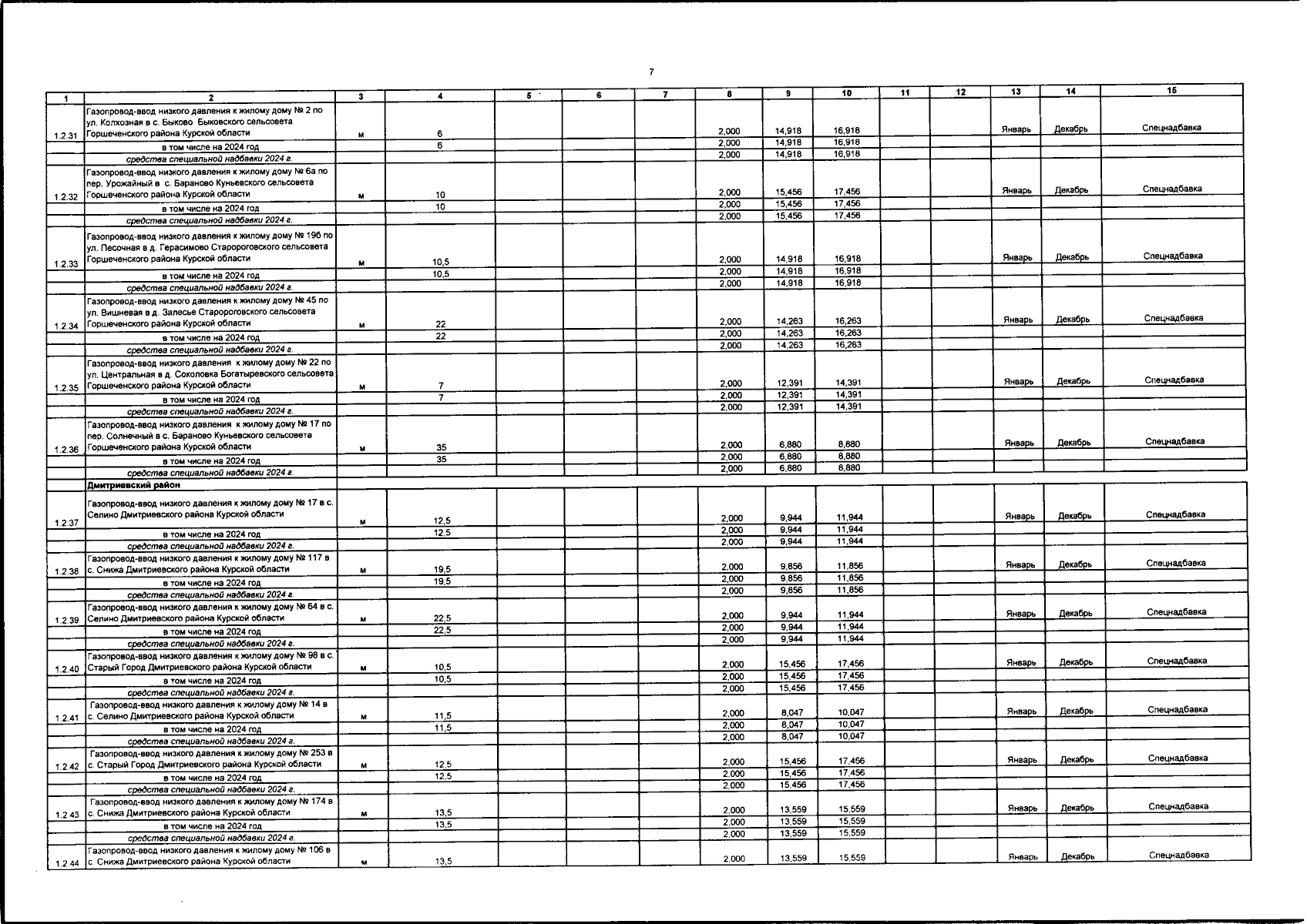
Постановление Правительства Курской области от 31.10.2024 № 889-пп
"О внесении изменений в постановление Правительства Курской области от 13.11.2023 № 1172-пп"
"О внесении изменений в постановление Правительства Курской области от 13.11.2023 № 1172-пп"
Номер опубликования: 4600202411050007
Дата опубликования:
05.11.2024
