Официальное опубликование правовых актов
ОФИЦИАЛЬНОЕ ОПУБЛИКОВАНИЕ
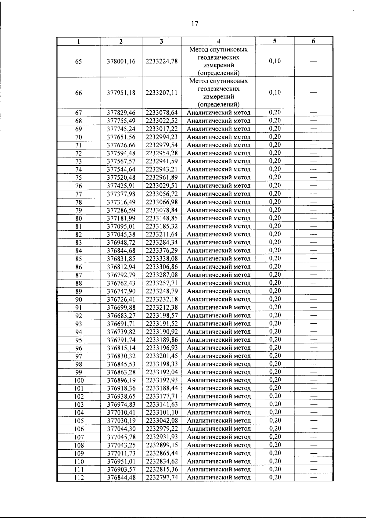
Постановление Губернатора Курской области от 15.08.2024 № 185-пг
"Об установлении охранной зоны памятника природы регионального значения "Боровая Потудань"
Номер опубликования: 4600202408200016
Дата опубликования: 20.08.2024
Страница №21 из 64:
Увеличить