Официальное опубликование правовых актов
ОФИЦИАЛЬНОЕ ОПУБЛИКОВАНИЕ
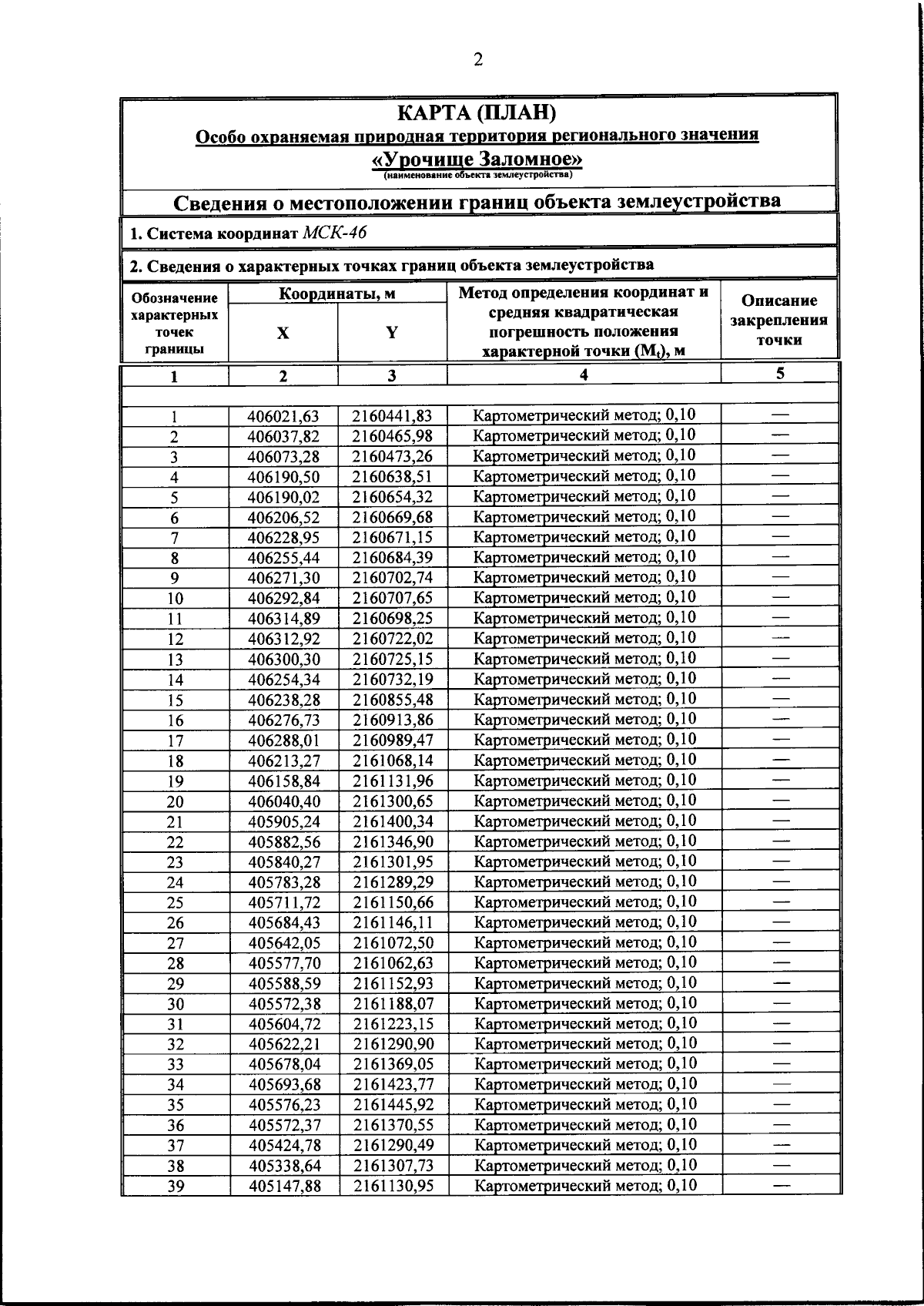
Постановление Правительства Курской области от 19.06.2024 № 468-пп
"О памятнике природы регионального значения "Урочище Заломное"
Номер опубликования: 4600202406250005
Дата опубликования: 25.06.2024
Страница №19 из 22:
Увеличить