Официальное опубликование правовых актов
ОФИЦИАЛЬНОЕ ОПУБЛИКОВАНИЕ
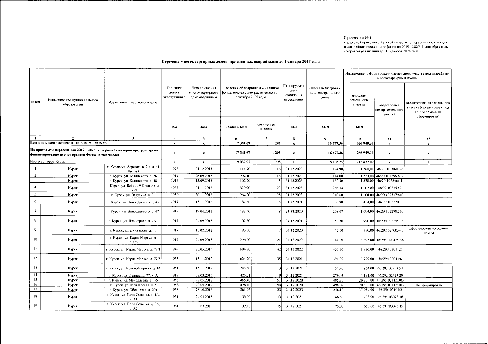
Постановление Правительства Курской области от 26.01.2024 № 54-пп
"О внесении изменений в постановление Администрации Курской области от 29.03.2019 № 259-па"
Номер опубликования: 4600202401310003
Дата опубликования: 31.01.2024
Страница №26 из 38:
Увеличить