Постановление Правительства Курской области от 20.12.2023 № 1334-пп
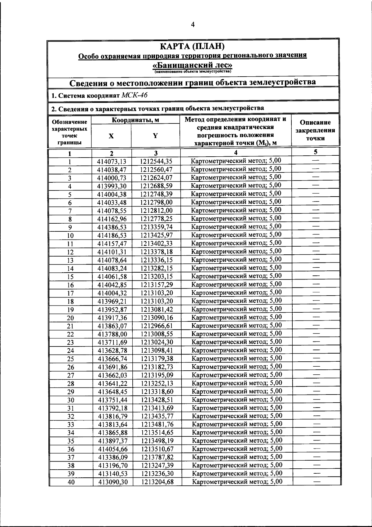
"О памятнике природы регионального значения "Банищанский лес"
"О памятнике природы регионального значения "Банищанский лес"
Номер опубликования: 4600202312260014
Дата опубликования:
26.12.2023
