Официальное опубликование правовых актов
ОФИЦИАЛЬНОЕ ОПУБЛИКОВАНИЕ
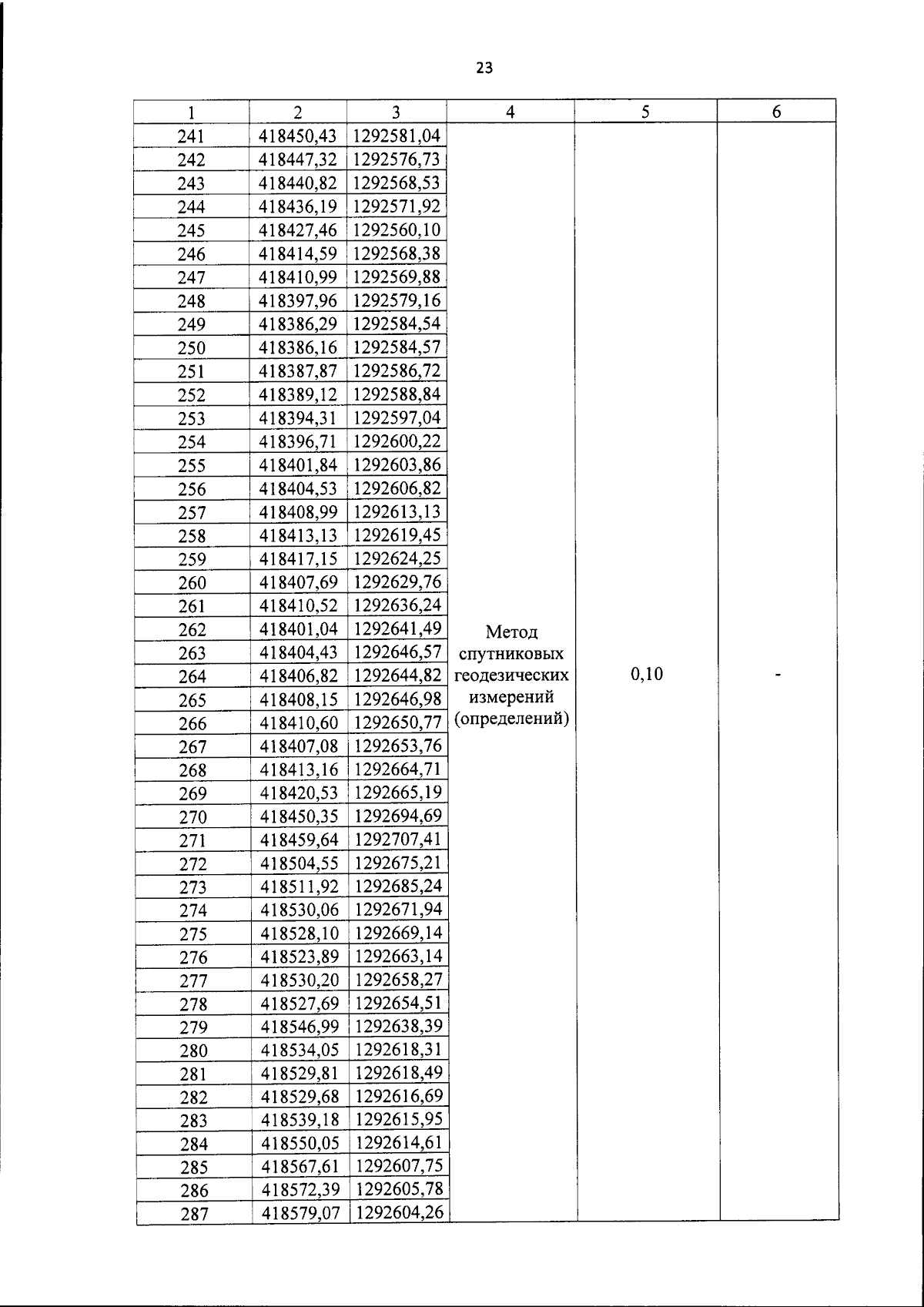
Постановление Правительства Курской области от 13.12.2023 № 1299-пп
"Об установлении границ объединенной зоны охраны объектов культурного наследия, расположенных на территории деревни 1-я Моква Курского района Курской области, и утверждении требований к градостроительным регламентам в границах территорий данной зоны"
Номер опубликования: 4600202312200002
Дата опубликования: 20.12.2023
Страница №25 из 88:
Увеличить