Официальное опубликование правовых актов
ОФИЦИАЛЬНОЕ ОПУБЛИКОВАНИЕ
Постановление Правительства Курской области от 30.11.2023 № 1235-пп
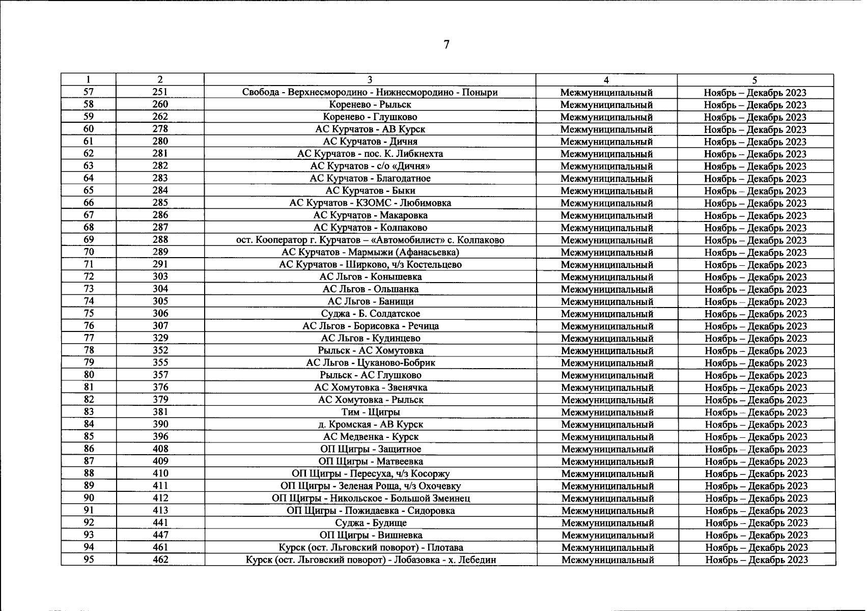
"О внесении изменений в постановление Администрации Курской области от 10.01.2022 № 4-па «Об утверждении документа планирования регулярных перевозок пассажиров и багажа по межмуниципальным маршрутам в Курской области и муниципальным маршрутам в границах городского округа «Город Курск» с 1 января 2022 года по 31 декабря 2024 года»"
Номер опубликования: 4600202312040018
Дата опубликования: 04.12.2023
Страница №9 из 34:
Увеличить