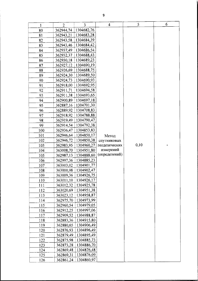
Постановление Правительства Курской области от 02.08.2023 № 858-пп
"Об установлении границ объединенной зоны охраны объектов культурного наследия, расположенных на территории города Обоянь Курской области, и утверждении требований к градостроительным регламентам в границах территорий данной зоны"
"Об установлении границ объединенной зоны охраны объектов культурного наследия, расположенных на территории города Обоянь Курской области, и утверждении требований к градостроительным регламентам в границах территорий данной зоны"
Номер опубликования: 4600202308090008
Дата опубликования:
09.08.2023
