Официальное опубликование правовых актов
ОФИЦИАЛЬНОЕ ОПУБЛИКОВАНИЕ
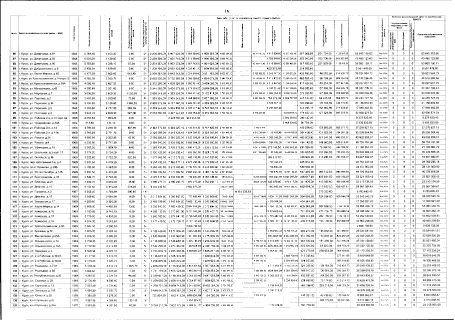
Постановление Правительства Курской области от 02.06.2023 № 610-пп
"О внесении изменений в краткосрочный план реализации Региональной программы капитального ремонта общего имущества в многоквартирных домах, расположенных на территории Курской области, на 2023 - 2025 годы"
Номер опубликования: 4600202306070017
Дата опубликования: 07.06.2023
Страница №17 из 28:
Увеличить