Официальное опубликование правовых актов
ОФИЦИАЛЬНОЕ ОПУБЛИКОВАНИЕ
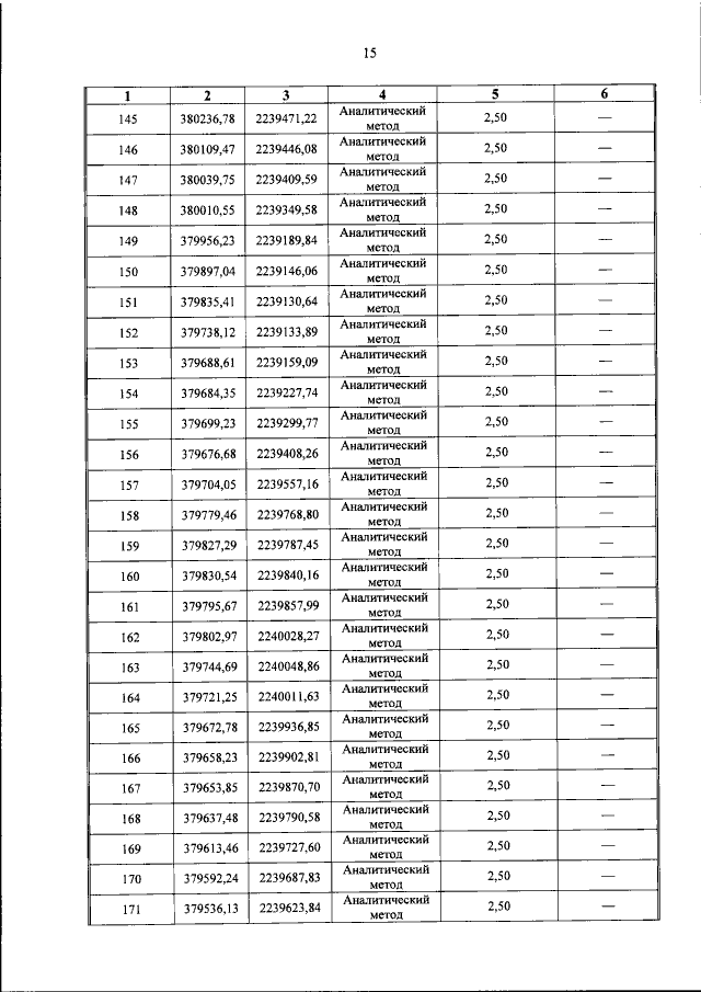
Постановление Губернатора Курской области от 11.04.2023 № 129-пг
"Об установлении охранной зоны памятника природы регионального значения "Точильный лог"
Номер опубликования: 4600202304140002
Дата опубликования: 14.04.2023
Страница №19 из 87:
Увеличить