Официальное опубликование правовых актов
ОФИЦИАЛЬНОЕ ОПУБЛИКОВАНИЕ
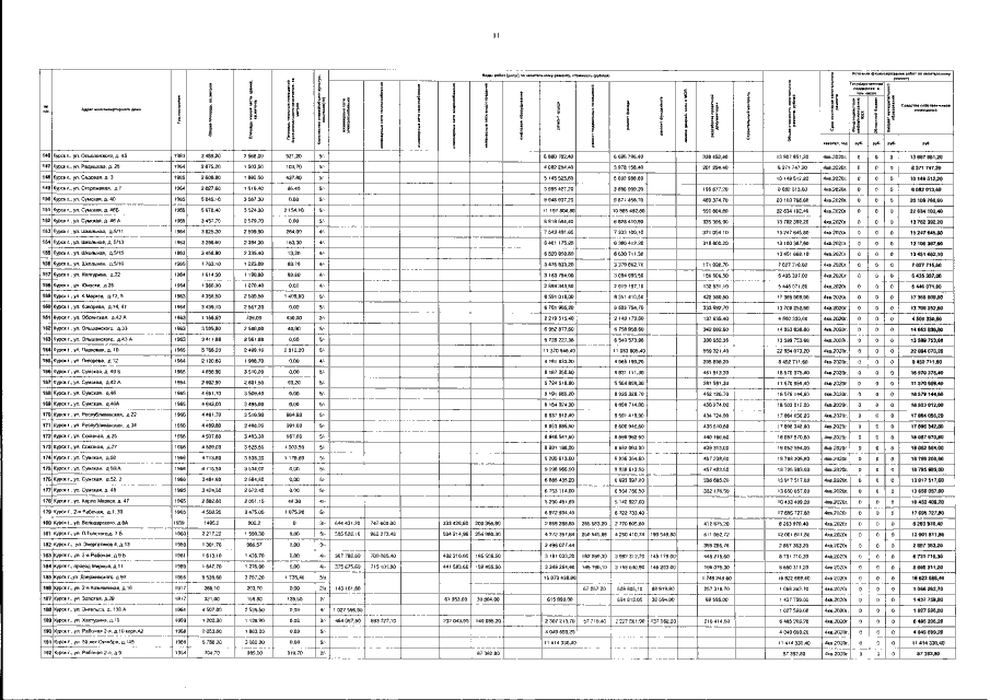
Постановление Правительства Курской области от 07.04.2023 № 431-пп
"О внесении изменений в краткосрочный план реализации Региональной программы капитального ремонта общего имущества в многоквартирных домах, расположенных на территории Курской области, на 2017 - 2019 годы"
Номер опубликования: 4600202304130025
Дата опубликования: 13.04.2023
Страница №12 из 15:
Увеличить