Официальное опубликование правовых актов
ОФИЦИАЛЬНОЕ ОПУБЛИКОВАНИЕ
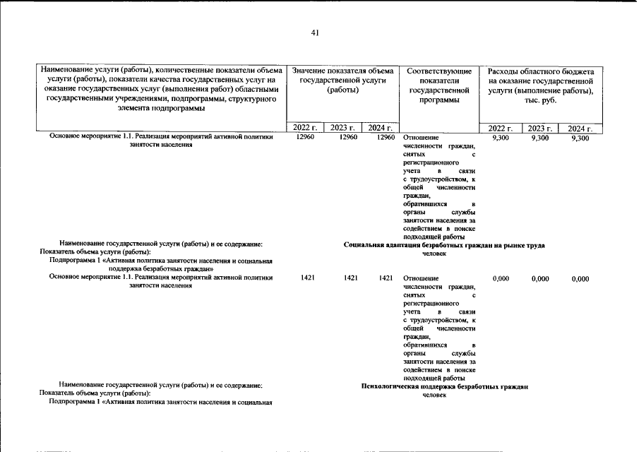
Постановление Администрации Курской области от 30.12.2022 № 1662-па
"О внесении изменений в государственную программу Курской области "Содействие занятости населения в Курской области"
Номер опубликования: 4600202301060005
Дата опубликования: 06.01.2023
Страница №42 из 62:
Увеличить