Официальное опубликование правовых актов
ОФИЦИАЛЬНОЕ ОПУБЛИКОВАНИЕ
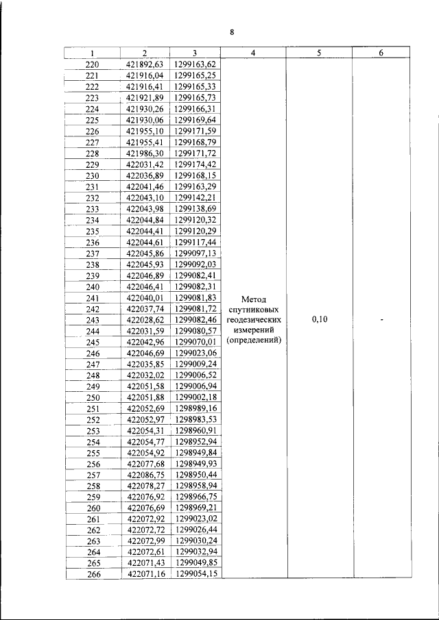
Постановление Администрации Курской области от 20.12.2022 № 1514-па
"Об установлении границ объединенной зоны охраны объектов культурного наследия, расположенных на территории города Курска, и утверждении требований к градостроительным регламентам в границах территорий данной зоны"
Номер опубликования: 4600202212280008
Дата опубликования: 28.12.2022
Страница №12 из 169:
Увеличить