Официальное опубликование правовых актов
ОФИЦИАЛЬНОЕ ОПУБЛИКОВАНИЕ
Постановление Администрации Курской области от 31.10.2022 № 1204-па
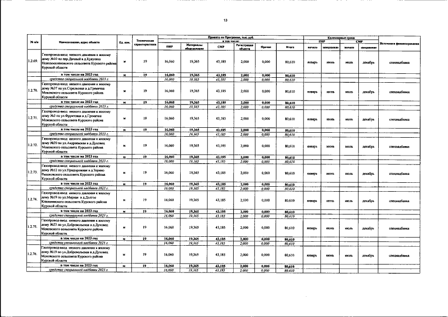
"Об утверждении Программы газификации Курской области на 2023 год, финансируемой за счет средств специальной надбавки к тарифам на транспортировку газа по газораспределительным сетям"
Номер опубликования: 4600202211030007
Дата опубликования: 03.11.2022
Страница №14 из 34:
Увеличить