Официальное опубликование правовых актов
ОФИЦИАЛЬНОЕ ОПУБЛИКОВАНИЕ
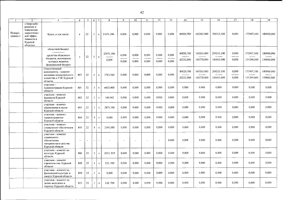
Постановление Администрации Курской области от 13.10.2022 № 1137-па
"О внесении изменений в государственную программу Курской области "Повышение энергоэффективности и развитие энергетики в Курской области"
Номер опубликования: 4600202210170001
Дата опубликования: 17.10.2022
Страница №43 из 62:
Увеличить