Официальное опубликование правовых актов
ОФИЦИАЛЬНОЕ ОПУБЛИКОВАНИЕ
Постановление Администрации Курской области от 26.08.2022 № 952-па
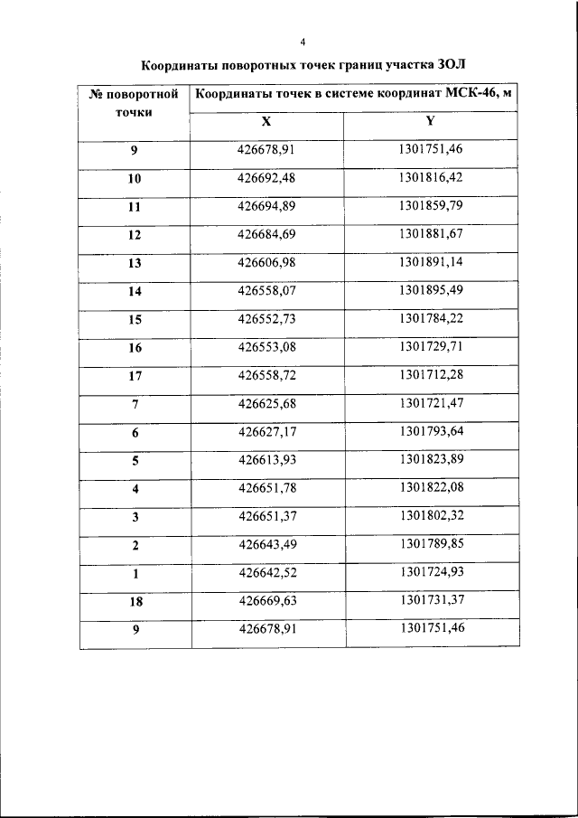
"Об установлении зон охраны объекта культурного наследия регионального значения "Место казни советских граждан немецко–фашистскими захватчиками в 1941–1943 годах. Памятный знак установлен в 1975 году", 1941–1943 гг., расположенного по адресу: Курская область, Курский район, д. Щетинка Щетинского сельсовета (песчаный карьер), и утверждении требований к градостроительным регламентам в границах территорий данных зон"
Номер опубликования: 4600202208310004
Дата опубликования: 31.08.2022
Страница №6 из 10:
Увеличить