Официальное опубликование правовых актов
ОФИЦИАЛЬНОЕ ОПУБЛИКОВАНИЕ
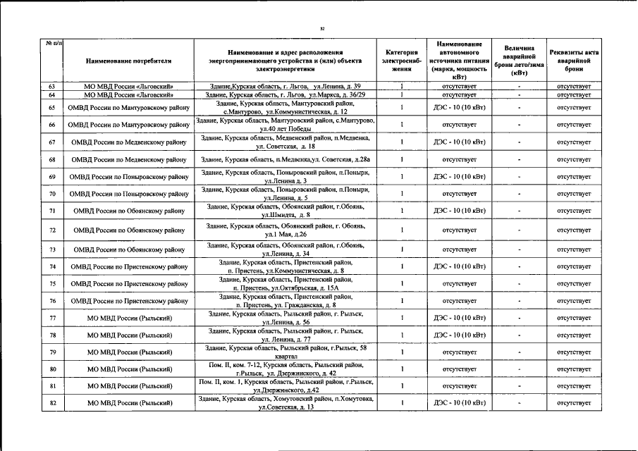
Распоряжение Губернатора Курской области от 30.06.2022 № 199-рг
"Об утверждении Перечня потребителей электрической энергии, ограничение режима потребления электроэнергии которых может привести к экономическим, экологическим или социальным последствиям на территории Курской области, на 2022-2023 годы"
Номер опубликования: 4600202207050004
Дата опубликования: 05.07.2022
Страница №33 из 186:
Увеличить