Официальное опубликование правовых актов
ОФИЦИАЛЬНОЕ ОПУБЛИКОВАНИЕ
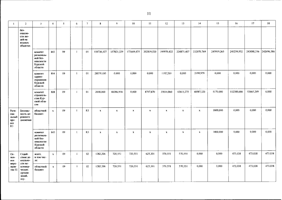
Постановление Администрации Курской области от 22.03.2022 № 263-па
"О внесении изменений в государственную программу Курской области "Защита населения и территорий от чрезвычайных ситуаций, обеспечение пожарной безопасности и безопасности людей на водных объектах"
Номер опубликования: 4600202203230009
Дата опубликования: 23.03.2022
Страница №12 из 40:
Увеличить