Официальное опубликование правовых актов
ОФИЦИАЛЬНОЕ ОПУБЛИКОВАНИЕ
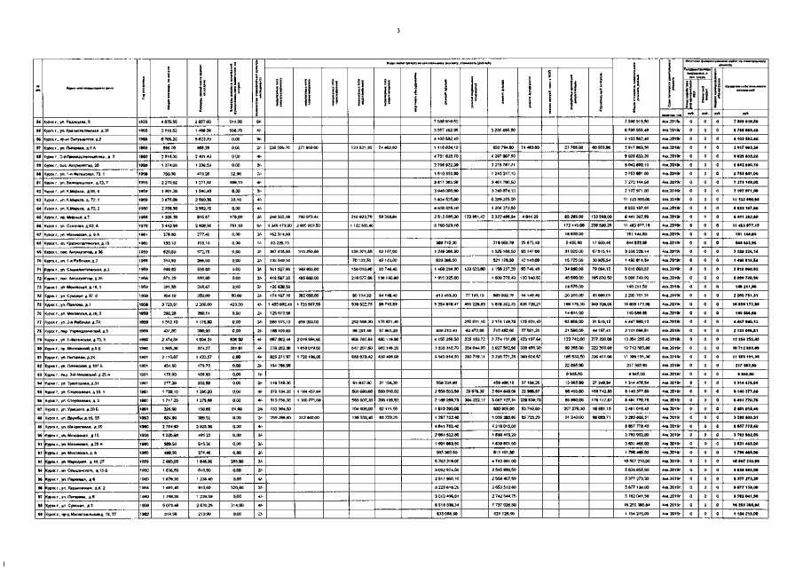
Постановление Администрации Курской области от 31.12.2019 № 1386-па
"О внесении изменений в краткосрочный план реализации Региональной программы капитального ремонта общего имущества в многоквартирных домах, расположенных на территории Курской области, на 2017-2019 годы"
Номер опубликования: 4600202001040007
Дата опубликования: 04.01.2020
Страница №4 из 18:
Увеличить