Официальное опубликование правовых актов
ОФИЦИАЛЬНОЕ ОПУБЛИКОВАНИЕ
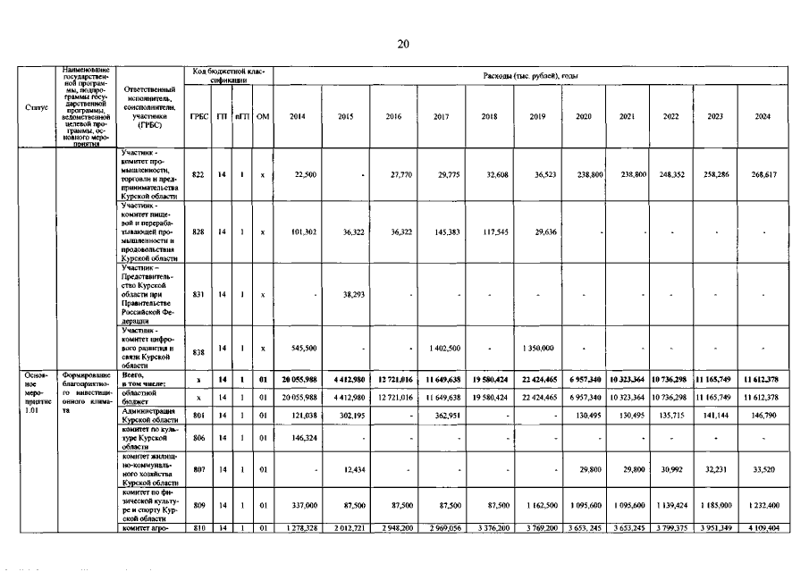
Постановление Администрации Курской области от 25.12.2019 № 1349-па
"О внесении изменений в государственную программу Курской области "Развитие экономики и внешних связей Курской области"
Номер опубликования: 4600201912300007
Дата опубликования: 30.12.2019
Страница №21 из 103:
Увеличить