Официальное опубликование правовых актов
ОФИЦИАЛЬНОЕ ОПУБЛИКОВАНИЕ
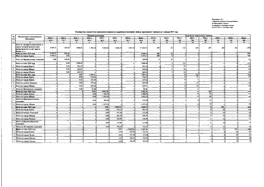
Постановление Администрации Курской области от 08.11.2019 № 1087-па
"О внесении изменений в адресную программу Курской области по переселению граждан из аварийного жилищного фонда на 2019-2025 (1 сентября) годы, утвержденную постановлением Администрации Курской области от 29.03.2019 № 259-па"
Номер опубликования: 4600201911130006
Дата опубликования: 13.11.2019
Страница №28 из 31:
Увеличить