Официальное опубликование правовых актов
ОФИЦИАЛЬНОЕ ОПУБЛИКОВАНИЕ
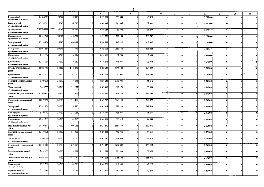
Закон Курской области от 11.09.2019 № 68-ЗКО
"О внесении изменений в Закон Курской области "Об областном бюджете на 2019 год и на плановый период 2020 и 2021 годов"
Номер опубликования: 4600201909170026
Дата опубликования: 17.09.2019
Страница №709 из 713:
Увеличить